All too often, the genesis of an eLearning project can betraced to a stakeholder saying “We need a training module on _______,” andsomeone is told to make it happen. Also common is an additional instruction to“make it mobile,” or whatever the technology du jour happens to be.
Adoption of an instructional development (ID) model canapply a brake to the process. While managers might still ask for training, whenthe someone—maybe a team of designers and developers—starts working on it, thedevelopment model just might make them pause to clearly define the need, ratherthan jumping right into creating “training.”
Whichever model they use, they are likely to start with aneeds assessment—clearly defining the need, or the gap between current anddesired results.
Is there a skills gap? Do employees lack specificinformation or knowledge? Do they need to develop “soft” skills, like leadershipor communication? Or is the gap in “hard” skills, like coding or Spanish oraccounting? Do employees need compliance training or guidance on following thecompany’s social media policy? The response to each of these needs should bedifferent.
Using a development model, the team can follow logical steps,starting with needs assessment and culminating in eLearning or a job aid thatis appropriate to the need. What is an instructional development model and howcan developers use it to accomplish this miracle of logical problem-solving?
As in science, economics, and many other disciplines, usinga model helps with the identification and analysis of a problem, thedescription and prediction of potential ways to address the problem, and theconceptualization, design, and implementation of a solution.
While most ID models include similar steps or stages, theytend to land on a spectrum that ranges from sequential models, where each phaseis completed before the next is started, to iterative and incremental models. Developersusing an iterative model produce several prototypes, in sequence, eachrepresenting a larger portion of the final functionality. An incremental modelproduces small portions of the final product, completing and testing each piecebefore moving to the next piece. Some models entail testing early versions ofthe eLearning on potential learners and revising as needed to ensure that thefinal product meets the needs of actual users. Each approach has its fans andits detractors, as each has advantages and disadvantages.
Sequential or waterfall models
Sequential models are often called “waterfall” models, sinceeach phase is completed before the next is started, and developers cannot backup or revisit an earlier phase.

Figure 1: ADDIE is a sequentialapproach: Developers can’t go up the waterfall
A common waterfall ID approach in eLearning design is ADDIE:Analyze, Design, Develop, Implement, Evaluate.
- Analyze: Identify target audience, learning goals,and success criteria; define technical requirements and constraints
- Design: Determine the format and presentationmethod of the course—lectures, video, simulations, games—and the assessmentcriteria
- Develop: Produce the materials defined in thedesign phase
- Implement: Deliver the course to the learners
- Evaluate: Use feedback from the learners todetermine what is working—and what is not
Not all design models that use or are based on ADDIE follow thesteps in a rigid linear manner, but the model is primarily regarded assequential. ADDIE is a solid, basic ID model created for the US military in1975 to develop effective training for increasingly complex topics.
ADDIE has been used for vast projects; the UN’s Food andAgriculture Organization (FAO) recently published a detailed white paperdescribing its creation of eLearning courses using ADDIE.
Some see ADDIE as costly and time-consuming, but admirerscite ADDIE’s flexibility, using it with instruction targeted to bothindividuals and enormous groups. A key criticism of ADDIE and other sequentialapproaches, though, is their lack offlexibility—serious flaws might not be caught until the final phase, evaluation,when correcting them is costly or impossible. That has given rise to iterativeand incremental models, many based on ADDIE.
Iterative and incremental models
It can be difficult to anticipate all the ways learners willinteract with eLearning, which means that a completed and delivered eLearningmodule might miss the mark. Therefore, one modification of ADDIE uses it tocreate successive versions of a product, using information gathered in the evaluationphase to launch the next analysis and design phases. Many of these iterative orincremental development models follow the same phases as ADDIE, but withtweaks. They are sometimes described as “mini-waterfalls” or “rapid prototyping.”
SAM
One model that uses this method is SAM, the successiveapproximation model. SAM starts from the premise that eLearning is neverperfect and can always be improved. It also assumes that a functionalprototype, which learners can “test drive,” is the best way to spot design orimplementation flaws.
At its simplest, SAM envisions an in-depth preparation orevaluation phase, similar to analysis in ADDIE, where designers define andanalyze the learning goals. They then create a design and develop a prototype,which undergoes user-testing (Figure 2). Developers can repeat these steps inmultiple iterations; the evaluation of one prototype leads to improved design inthe next. Each successive prototype incorporates more of the finalfunctionality, as well as design changes—which can be significant—until a finalor “gold” version is completed. While critics call the possibility of endlessiterations “death spirals,” the creator of the SAM method, Michael Allen,suggests three iterations as the “magic number.”

Figure 2: Three is the “magic number”in SAM
However, that can be misleading.In a more complex version of SAM, the design phase can undergo three iterationsof “design→prototype→evaluate.” Only thendoes the development phase begin; it, too, can undergo three separateiterations of “develop→implement evaluate.” In eachphase, actual learners test the design or prototype. For a large and complexeLearning project, Allen suggests using SAM to produce an alpha, a beta, andfinally a gold version of the course.
Agile softwaredevelopment
Inherent in SAM is the idea of incremental development,based on agile software design. Agile methods of software or eLearningdevelopment, described in detail in in Megan Torrance’s article What Does It Mean to Be Agile?, include Scrum,Lean, and Kanban.
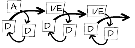
Agile adds a literal twist to the linear steps of ADDIE,according to Torrance in Reconciling ADDIE and Agile (Figure 3).

Figure 3: Multiple mini-ADDIEs: Waterfallsbecome whirlpools (figure used with permission of Megan Torrance)
It adds a testing phase after the design and development ofa bare-bones implementation. The feedback spurs a new design and developmentcycle. Each iteration is usable enough to give learners the opportunity tooffer meaningful feedback—and each is incrementally more complete. Agile modelstend to be fast-moving and deadline-driven; seen as both a plus and a minus,depending on whom you ask. It allows for, but could also invite, significantchanges throughout the development. Designers (or their managers) usuallydecide on the number of iterations before design begins—otherwise, the cyclecould repeat endlessly.
Can’t we all just get along?
So, is ADDIE, agile, or SAM the best approach for eLearningdesign and development? To many eLearning developers, choosing is notnecessary. Many approaches synthesize the best of each model. What’s essentialis to define the needs clearly and follow a coherent process to createeLearning that meets those needs.
References
Gustafson,Kent and Robert Branch. Survey ofInstructional Development Models. 1997.
United Nations Food and AgricultureOrganization. E-learning methodologies: A guide for designing and developing e-learning courses. 2011.








